tripleS Wiki
This article documents content and theories (that are up to individual interpretation) about tripleS's lore and concepts.
When contributing to theories, please don't forget to add reference links, sources or credit where needed!


Among the girls inhabiting planet Earth, there are some who hold special abilities. We decided to call these girls with special abilities, s. s were living their lives oblivious of each other's existence, Now we will create a special team called tripleS through assembling s. Through DIMENSION, the girls of tripleS join forces, and demonstrate each of their abilities. DIMENSION is recreated every season with new concepts, and forms of group and solo activities. Through Objekt, Masters deliver power to tripleS, and complete DIMENSION.

Overview[]

Main article: tripleS

tripleS is a 24 membered girl group that runs on a voting system and operates mainly in sub-unit/solo promotions. Members can be voted by the public into certain groups/other areas of work thus creating a system in which each S' role in the group will be ever changing/transcending. Members are currently not fixed to a certain unit and depending on the DIMENSION for that season, can be put into a different area of work, be it unit or solo, based on a different concept from before.

It is speculated tripleS' universe is called COSMOS as most group teasers and videos suggesting lore are under a youtube playlist of that name.

Analysis[]

Main article: Analysis

Analysing tripleS videography is typically conducted through interpretations of group teasers, member reveal teasers and such.

General Theory[]

Dijkstra's Algorithm[]

Dijkstra theory

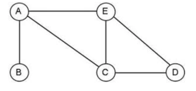
The first time tripleS showed significance to the Dijkstra Algorithm was through the dijkstra teaser video. Following the video, after every new S joins the HAUS, a picture will be uploaded captioned 'dijkstra theory'. Dijkstra's algorithm is an algorithm for finding the shortest paths between nodes in a graph. For example (See Image On Right), a path can go from A to B, but can't go from B to A, therefore there is no way to get from B to C. Fans theorized that (S1) Yoon SeoYeon was the first member so she will be the starting node, having the longest path to get to the final node, S24. Whereas the S23 member would have the shortest path to S24, but once all S members are revealed, all paths are connected from S1 to S24. [1] People have linked this theory with the fact that Yoon SeoYeon and Gong YuBin's picture teasers being uncannily similar, the two S have connected their paths.

Rotating Logo and Clock Theory[]

TripleS-logo-rotation

During the time when (S2) Jeong HyeRin was revealed as the S2 member, fans had noticed that the tripleS logo had rotated 15° degrees clockwise from the original logo. Fans believed that (S1) Yoon SeoYeon should be 0° degrees, and the logo would rotate 15° degrees for every 24 members revealed. Resulting with 345° degrees completed after all 24 S has been announced and leaving the final 15° degrees to complete a 360° rotation as the whole group has been completed. Others theorized that the rotation could be synonymous to a clock, each S member and their S numbers being related to hours of the day on a 24 hour clock format, with S1 being midnight (00:00) and S24 also concluding at midnight (24:00) completing a full day.

Color Theory[]

When a new S member is revealed, they typically have a designated color assigned to them as shown on their 'WELCOME TO THE HAUS' photo. These colors have previously been linked by fans to the 'Amstrad-CPC Color Palette', this palette consists of 27 colors. Fans believed that every S member, are being assigned a color from the CPC Color palette and the remaining 3 colors being Black, Grey and White, being sub-units consisting of 8 members into 3 sub-units and the sub-units having these remaining assigned colors. However, when (S8) Gong YuBin's color was announced, it possibly debunked the ongoing theory as her color didn't fit onto the CPC color palette unlike the previous 7 S member's colors. [2]

Christianity Theory[]

Christianity theory

During the signalis video, the initial scene was filmed in a church, with other relations of 'arches' in following scenes. Arches in religion most commonly symbolize 'rebirth'. Fans have theorized that this could mean that tripleS will walk through the arch to become big S, leaving their old self behind to become a member of tripleS. This leads onto the number 8 biblically meaning 'new beginnings'[3], if tripleS does have significance to the number 8, it links well with the arches theory.

In Revelation 4:1 - 4, it states that around God's throne there are 24 individuals and 24 thrones wearing gold crowns, assisting to guide him to govern the universe.[4] In tripleS' case, it could be 24 members with their S abilities are governing the DIMENSION

Proto-Indo-European and Greek Mythology[]

Hausos was the Goddess of Dawn in Proto-Indo-European Mythology. She is sometimes portrayed as having eternal rebirth. This possibly links back to the clock theory and the Christianity theory.

Previously in the tripleS' app COSMO, the main page on the app is called Sigma, in Greek spelling, Σσς, which in the English alphabet is 'SSS' but can be pronounced as Eos. In Greek Mythology, Eos was the Goddess of Dawn, Eos went to the edge of the river Oceanus everyday, the river that flowed around the Earth, to deliver light and disperse the night. [5]

The word Hausos could be separated into two parts 'HAUS OS', meaning House Operating System, linking to tripleS' voice-only entity that resides in the HAUS, Suah. Hausos is also said to be the opener of doors for her father, Suah welcomes the new S members into the HAUS. Possibly linking that Suah is synonymous to Hausos and tripleS is synonymous to Eos.

Source:West, Martin Litchfield (2007). Indo-European Poetry and Myth. Oxford, UK: Oxford University Press

8-bit Theory[]

A byte is a unit of digital information that most commonly consists of eight bits. 8 small bits is equal to 1 byte, so some fans have theorized that 1 big S is equal to 8 small bytes. The three grouping of 8 bits would equal to 24 bits and equalling to 3 bytes creating three big S' (tripleS). [6] Later, when an update for the Cosmo app was released, the grid had been updated to show Atom01 and Binary01. Binary is often used with 8-bit binary numbers. The new update also showed a logo for the Atom01 and Binary01 within the shape of an 8, also further relating to the 8-bit theory. As the name 'Byte' was a n option for the fandom name during the Third Gravity, it also adds to this possible theory.

Navigation[]

Site-community-image
SeoYeonHyeRinJiWooChaeYeonYooYeonSooMinNaKyoungYuBinKaedeDaHyunKotoneYeonJi
NienSoHyunXinyuMayuLynnJooBinHaYeonShiOnChaeWonSullinSeoAhJiYeon
Discography
tripleS ASSEMBLEASSEMBLE24###ASSEMBLE25Beyond Beauty
Acid Angel from Asia ACCESS
+(KR)ystal Eyes AESTHETIC
ACID EYES Cherry Gene
LOVElution MUHAN
EVOLution MUJUK
NXT Just Do It
Aria Structure of Sadness
Glow Inner Dance
Visionary Vision Performante
∞! UntitledSecretHimitsuBimil
Alphie Lit Pop
Filmography
SIGNAL Series SIGNAL · SIGNAL WEEKLY · SSSIGNAL · Live SIGNAL · COSMO EXCLUSIVE SIGNAL
Reality Shows Strong Girl: Badge War · Strong Girl: Badge War Season 2 · Strong Girl: Badge War Season 3
SIGNAL Related Content SecretBase · tripleS BEHIND
Teasers Group Teasers · Member Teasers
Covers Vocal · Dance · Seed Stage
Others Music Videos · Choreography
Events
Concerts ASSEMBLE Pre-Concert · Girls Never Stop Fan-Concert · A Live 25 in Seoul & Tokyo
Tours <Authentic> · tripleS Come True · tripleS Alpha Percent
Other Gravity
Other
HAUS MOD Forest HAUS (current) · MODU HAUS (current) · Cookie HAUS (current) · HAUS 1 · HAUS 2 · HAUS 3 · TOKYO HAUS · TOKYO HAUS 2 · YEOUIDO HAUS · NAMSAN HAUS
Agencies MODHAUSStream Media CorporationLigareaz
Labels MODHAUSSony Music JapanSME Records

References[]